Mobile QR Code QR CODE

2024

Acceptance Ratio

21%


  1. (Intelligent Manufacturing College, Nanyang Institute of Technology, Nanyang 473000, China 3031053@nyist.edu.cn)
  2. (Information Engineering College, Nanyang Institute of Technology, Nanyang 473000, China 3111040@nyist.edu.cn)



Distributed resource allocation, Industrial IoT, Age of information, Dynamic system adaptation, Resource optimization

1. Introduction

The advent of the Industrial Internet of Things (IIoT) represents a paradigm shift in the manufacturing and industrial sectors, marked by the integration of advanced information technologies with traditional industrial processes [1]. This convergence is catalyzing a transformative wave, enabling unprecedented levels of automation, efficiency, and data-driven decision-making. Central to this revolution is the concept of dynamic resource allocation, a process intrinsically linked to the ability of IIoT systems to adapt to fluctuating operational demands in real time [2]. The essence of IIoT lies in its network of interconnected sensors, machines, and devices, which collectively generate vast streams of data [3]. This data, when effectively harnessed, offers a granular view of the production environment, facilitating optimized resource utilization, predictive maintenance, and enhanced operational agility [4].

The necessity for dynamic resource allocation within IIoT stems from the inherently variable nature of industrial environments. Factors such as fluctuating market demands, supply chain uncertainties, and evolving production requirements necessitate a flexible approach to resource management [5]. Traditional static resource allocation methods fall short in this regard, as they lack the adaptability to cope with continuous changes in operational conditions [6]. In contrast, IIoT-enabled dynamic resource allocation leverages real-time data and advanced analytics to make informed decisions about the allocation and reallocation of resources such as manpower, machinery, and materials [7]. Doing so, not only enhances operational efficiency but also minimizes downtime and waste, leading to improved productivity and cost-effectiveness. Furthermore, the integration of predictive analytics into resource allocation processes enables proactive responses to potential issues, thereby further refining the efficiency and reliability of industrial operations [8].

The concept of the Age of Information (AoI) has emerged as a critical metric in the realm of networked systems, particularly within the context of the Industrial Internet of Things (IIoT) [9] AoI is defined as a measure of the time that elapses from the moment a piece of information is generated until it is received and processed by the end-user or system [10]. This metric is distinct from latency, as it encompasses not only the delay in transmission but also the time during which the information awaits processing and utilization. In the fast-paced and data-driven environment of IIoT, where decisions and actions must often be made in real-time, AoI becomes a paramount indicator of data relevance and timeliness, directly impacting the efficiency and efficacy of operational decisions [11].

In the context of IIoT, the significance of AoI lies in its ability to quantify the freshness of information, which is essential for maintaining an accurate and real-time understanding of industrial processes. IIoT systems are typified by a plethora of sensors and devices that continuously generate data regarding various aspects of industrial operations [12]. This data, however, rapidly loses its value if not processed and acted upon promptly. High AoI values can indicate delays or bottlenecks in the data processing pipeline, signaling the need for system adjustments to ensure timely data flow. Consequently, maintaining a low AoI is crucial for operational accuracy, allowing for swift and informed decision-making that is critical in dynamic industrial environments. Moreover, the optimization of AoI in IIoT systems is instrumental in enhancing various facets of industrial operations, including predictive maintenance, resource optimization, and supply chain management. For instance, in predictive maintenance, the freshness of data regarding equipment status is vital to accurately predicting failures and scheduling timely maintenance, thereby preventing costly downtimes [13]. Similarly, in resource optimization, up-to-date information on resource availability and utilization is essential for efficient allocation and scheduling. In supply chain management, current information on inventory levels and logistics ensures seamless operations and customer satisfaction [14]. Hence, AoI not only serves as a key performance indicator in IIoT but also as a driving force for continuous improvement and operational excellence.

In this study, we explore and propose an innovative method for resource allocation tailored to the dynamic and complex environments of IIoT. One of the core challenges in IIoT resource management is the effective utilization and distribution of various resources such as sensors, devices, and network bandwidth, to maintain information freshness and efficient system operations [15]. Although existing resource allocation mechanisms are effective under certain conditions, they often overlook the critical factor of AoI, potentially leading to outdated decisions or resource wastage. This section aims to address this issue by introducing an AoI-based distributed multi-resource management strategy.

Traditional centralized resource allocation methods face scalability and flexibility challenges when dealing with a large number of nodes and complex tasks. To address these challenges, this research proposes a distributed resource allocation mechanism. Under this mechanism, individual nodes can independently make resource selection and adjustment decisions based on local information and AoI metrics. However, this approach introduces a new problem: how to ensure the overall system efficiency while achieving fairness in resource distribution when nodes operate independently? To resolve this, the research introduces an algorithm that balances individual optimization with collective benefits, aimed at enhancing the overall responsiveness and efficiency of the system, while ensuring fairness in resource allocation. Initially, the IIoT resource allocation problem is modeled as a multi-agent decision-making issue, where each agent must make optimal decisions within a context of limited resources and uncertain environments. Subsequently, a novel AoI-based resource allocation algorithm is proposed, designed to optimize dynamic resource distribution, thereby enhancing the timeliness and accuracy of decisions. Furthermore, to ensure fairness and efficiency in resource allocation, several key constraints are integrated into the algorithm. Finally, a series of simulation experiments are conducted to validate the effectiveness of the proposed method, demonstrating its ability to reduce average AoI and enhance resource allocation efficiency.

Unlike existing research, this paper proposes a novel distributed multi-resource management method based on the Age of Information (AoI), capable of achieving dynamic optimization of resource allocation while ensuring fairness. By introducing AoI as a key decision-making parameter, this method effectively enhances the system's real-time performance and resource utilization efficiency. The approach distinguishes itself from previous studies by integrating AoI into a distributed framework, allowing for more adaptive and responsive resource management in the dynamic IIoT environment. This integration not only addresses the challenge of maintaining data freshness but also optimizes the overall system performance in terms of throughput and resource efficiency.

The contributions of this study are as follows:

We introduce and elaborate on a novel resource allocation method grounded in the concept of AoI. Tailored for the dynamic settings of IIoT, this framework optimizes resource distribution and scheduling through real-time data and AoI metrics. This approach not only enhances the timeliness and accuracy of decision-making processes but also offers a flexible solution adaptable to rapidly changing environments.

In traditional distributed systems, individual nodes often operate independently, potentially leading to imbalanced resource allocation and inefficiency. The algorithm proposed in this paper successfully balances the autonomy of individual nodes with the overall system efficiency. By employing this method, we ensure fairer and more balanced resource distribution while maintaining effective resource utilization.

By utilizing an all-fiber laser and fiber Bragg gratings, our method exhibits excellent resistance to environmental interferences such as temperature fluctuations and mechanical vibrations. This enhanced stability and interference resistance make our approach a powerful tool in applications requiring high reliability and precision, such as in precision engineering and scientific research.

2. Related Work

2.1. IIoT Resource Allocation Methods

The field of IIoT resource allocation has witnessed significant research efforts aimed at optimizing the utilization and management of resources. These efforts predominantly focus on addressing the unique challenges posed by the dynamic and heterogeneous nature of IIoT environments. Researchers have explored various strategies, ranging from demand-responsive allocation to energy-efficient methodologies, each contributing to the development of more sophisticated and effective resource management systems. Notably, several key studies stand out for their innovative approaches and findings: Yang et al. [16] developed a dynamic allocation model for time and power resources in IIoT, focusing on reducing energy consumption while maintaining the stability of the data queue in communication systems. Wang et al. [17] proposed a global joint resource allocation scheme for UAV service in IIoT, aimed at optimizing task offloading decisions, charging resources allocation, and UAV computation resources allocation. Xu et al. [18] introduced a strategy to maximize residual energy in wireless-powered edge computing IIoT, utilizing an improved hybrid whale optimization algorithm for resource allocation. Liang et al. [19] employed reinforcement learning for dynamic resource allocation in the Internet of Vehicles, an application of IIoT, to improve resource utilization and user experience. Khan et al. [20] developed a dispersed federated learning framework for the cognitive Internet of Things in industries, focusing on resource optimization and robustness in a distributed fashion. Goswami et al. [21] proposed a neural network-based method for optimal resource allocation in secure IIoT networks, addressing issues of network flexibility and data security.

2.2. Applications and Research of AoI in Diverse Fields

AoI has been gaining significant traction across various disciplines beyond the realm of the IIoT. Its fundamental premise of measuring the freshness of information makes it a versatile tool for addressing challenges in environments where timely data is critical. Several key studies and applications in different fields highlight the breadth and depth of AoI research: Leng et al. [22] investigated AoI minimization in cognitive radio energy harvesting communications, emphasizing the importance of timely updates for sensors that opportunistically access spectrum left idle by primary users. Tripathi et al. [23] analyzed peak and average AoI for discrete-time queuing systems, providing insights into its application in environments with discrete event simulations. Kadota et al. [24] developed scheduling algorithms to optimize AoI in wireless networks with throughput constraints, highlighting AoI's role in ensuring timely information flow in communication networks. Yates et al. [25] provided a comprehensive survey on AoI, demonstrating its broad applicability from cyber-physical systems to wireless networks and its relation to other metrics like MMSE in control systems. Wang et al. [26] proposed an imitation learning-based scheduling approach under partial observations to address AoI in mobile edge networks, indicative of AoI's growing intersection with machine learning. Gindullina et al. [27] explored AoI in IoT systems with an energy-harvesting monitoring node, addressing the challenge of maintaining information freshness under energy constraints. Abbas et al. [28] studied the optimization of AoI and energy efficiency in IoT networks, particularly in applications such as smart agriculture, showing AoI's relevance in ensuring timely data for environmental monitoring.

3. Model Formulation

3.1. System Model

In the depicted IIoT scenario, as illustrated in Fig. 1, the system encompasses a central controller surrounded by a multitude of sensor nodes dispersed throughout the industrial environment. These sensor nodes are tasked with gathering sensory information related to the environment, equipment, and personnel. They transmit data packets, equipped with time stamps, to the central controller via wireless channels. The central controller is responsible for processing the received data to make real-time control decisions.

Fig. 1. Distributed array of sensor nodes of IIoT.

../../Resources/ieie/IEIESPC.2026.15.1.108/fig1.png

In our IIoT system model, the network comprises a distributed array of sensor nodes, denoted by of sensor nodes, denoted by $\mathcal{M} = \{m_1, m_2, \dots, m_N\}$, where $N$ represents the total number of sensor nodes. These nodes are responsible for monitoring and collecting data from various aspects of industrial operations, such as machinery performance, environmental conditions, and personnel activities.

Unlike traditional models that might allocate a single type of resource, our model considers a set of distinct resources necessary for optimal data transmission and processing. These resources include but are not limited to, communication channels, computational capabilities, and energy supplies, denoted as $\mathcal{C} = \{c_1, c_2, \dots, c_I\}$, $\mathcal{P} = \{p_1, p_2, \dots, p_J\}$, and $\mathcal{E} = \{e_1, e_2, \dots, e_K\}$ respectively, where $I$, $J$, and $K$ represent the total number of available resources in each category. The objective is to allocate these resources dynamically to the sensor nodes in a way that minimizes the average AoI, thus ensuring that the most current information is utilized for decision-making. The resource allocation must account for the heterogeneous and dynamic nature of the industrial environment, where the state of each sensor node and its surrounding conditions may change rapidly.

The time is discretized into slots $\mathcal{T} = \{t_1, t_2, \dots, t_T\}$, where $T$ is the number of time slots in the optimization period. In each time slot, a sensor node can be allocated multiple types of resources from $\mathcal{C}$, $\mathcal{P}$, and $\mathcal{E}$, based on its current state and the AoI requirements. The allocation process is governed by a distributed algorithm, where each node operates independently, using local information to decide on the optimal resource combination that minimizes its AoI. To formulate the problem, we introduce the following variables: $x_{i, j,k}^t$: A binary variable indicating whether resource combination $(c_i, p_j, e_k)$ is allocated to any sensor node at time $t$. $\Delta_m^t$: The Aol for sensor node $m$ at time $t$.

The optimization problem can be stated as:

(1)
$ \begin{aligned} & \min_{x_{i, j,k}^t} \frac{1}{N} \sum_{m=1}^N \Delta_m^t, \\ & \text{subject to:} \\ & \sum_{i=1}^I \sum_{j=1}^J \sum_{k=1}^K x_{i, j,k}^t \le 1, \forall m, t, \\ & \sum_{m=1}^N x_{i, j,k}^t \le 1, \forall i, j, k, t, \\ & \Delta_m^t = f(\text{last update time},t), \forall m, t. \end{aligned} $

Here, the objective is to minimize the average AoI across all sensor nodes, subject to the constraints that each resource combination can only be allocated to one sensor node at a time, and each sensor node can only use one resource combination at a time. The function $f$ represents the relationship between the last update time and the current time slot, determining the AoI for each node.

3.2. Formulation of the Distributed Algorithm for Dynamic Resource Allocation

The distributed algorithm is designed for dynamic resource allocation in an IIoT system to optimize the AoI. It aims to minimize the AoI across all sensor nodes while adhering to resource constraints and maintaining a fair distribution of resources.

The algorithm operates in discrete time slots, with each sensor node making independent decisions about its resource allocation by considering local AoI and available resources. The decision process of each node follows a series of iterative computations within each time slot, which can be formalized as follows:

Local AoI update: Each sensor node calculates its current AoI based on the most recent successful data transmission. The Aol for sensor node $m$ at time slot $t$ is updated as:

(2)
$ \Delta_m^{(t)} = t - \tau_m^{(t)}, $

where $\tau_m^{(t)}$ is the last time slot at which node $m$ successfully transmitted its data.

Resource demand estimation: Nodes estimate their resource demand for the next time slot based on their current AoI and predefined priorities. The demand function $D_m^{(t)}$ is defined as

(3)
$ D_m^{(t)} = g(\Delta_m^{(t)}). $

where $g(.)$ is a monotonically increasing function, representing the urgency of updating information as the AoI increases.

Resource allocation strategy: The nodes communicate their resource demands to a decentralized algorithm that allocates resources without centralized control. Let $X_{m,i, j,k}^{(t)}$ be the binary decision variable indicating if node $m$ is allocated resource combination $(c_i, p_j, e_k)$ at time $t$. The allocation is determined by

(4)
$ \begin{cases} 1, & \text{if } D_m^{(t)} \text{ is highest for } (c_i, p_j, e_k) \text{ and no} \\ & \text{conflict exists,} \\ 0, & \text{otherwise.} \end{cases} $

Conflict resolution: In case of conflicting demands for the same resources, a contention resolution protocol is employed. Let $\mathcal{N}(c_i, p_j, e_k)$ be the set of nodes requesting the same resource combination $(c_i, p_j, e_k)$.The conflict is resolved by

(5)
$ \begin{cases} 1, & \text{if } \Delta_m^{(t)} = \min_{n \in \mathcal{N}(c_i, p_j, e_k)} \Delta_n^{(t)}, \\ 0, & \text{otherwise,} \end{cases} $

where $\phi_m^{(t)}(c_i, p_j, e_k)$ indicates whether node $m$ has the lowest AoI among the contenders and thus wins the resource allocation.

Update of allocation: After resolving conflicts, each node updates its allocation status and prepares for data transmission. The updated allocation matrix at time $t$ is

(6)
$ \mathbf{A}^{(t)} = \{X_{m,i, j,k}^{(t)} \cdot \phi_m^{(t)}(c_i, p_j, e_k) \mid \forall m, i, j, k\}. $

System feedback and adjustment: Post allocation, nodes receive feedback on the success of their data transmission. Based on this, they adjust their future demand estimations and resource requests. The goal is to minimize the average AoI across all nodes over the time horizon $T$, which can be formulated as

(7)
$ \min \frac{1}{TN} \sum_{t=1}^T \sum_{m=1}^N \Delta_m^{(t)}. $

Subject to the constraints of the system model, ensuring that resources are allocated fairly and efficiently without overloading any single node or resource.

This algorithm innovatively employs AoI as the core indicator for resource allocation. Through Eqs. (3)-(7), it achieves dynamic optimization of AoI, thereby ensuring data freshness while simultaneously improving resource utilization efficiency. This approach represents a significant advancement over traditional methods by directly incorporating the timeliness of information into the resource allocation decision-making process.

3.3. Integration of AoI as a Key Decision-making Parameter

The AoI serves as a critical metric within each node's decision-making process. It informs the urgency and priority with which resources are requested and allocated in the distributed IIoT environment. The incorporation of AoI into the decision-making algorithm ensures that the most time-sensitive data is transmitted first, maintaining high system responsiveness and data relevance. Each sensor node calculates its demand for resources as a function of its current AoI. The demand function D($\Delta$) reflects the priority of the node's data transmission, with higher AoI leading to higher demand

(8)
$ D(\Delta) = h(\Delta). $

Where $h(\cdot)$ is a function that maps AoI to resource demand, which could be linear or a more complex non-linear function to reflect different prioritization strategies.

The nodes use their AoI to bid for resources in each time slot. The node with the highest AoI-derived demand is given priority in the allocation process:

(9)
$ \Psi(\Delta_1, \Delta_2, \dots, \Delta_N) = \arg\max_m \{D(\Delta_m)\}, $

where $\Psi$ is the prioritization function that determines the node $m$ with the highest demand for resources based on AoI.

To formalize the Aol within the optimization framework, we introduce an Aol optimization function $\Omega(\Delta, R)$, which is used to minimize the Aol across all nodes given the resource constraints $R$:

(10)
$ \Omega(\Delta, R) = \sum_{m=1}^N w_m \cdot \Delta_m, $

where $w_m$ is a weight factor that could be adjusted to prioritize certain nodes over others, and $\Delta_m$ is the Aol for node $m$.

The decision variable for resource allocation at each node now becomes a function of AoI:

(11)
$ \begin{cases} 1, & \text{if } \Delta \text{ is minimized for given } R, \\ 0, & \text{otherwise.} \end{cases} $

After each time slot, the nodes receive feedback on the success of their data transmission. They use this to update their AoI and adjust their demand accordingly for the next time slot:

(12)
$ \Delta^{(t+1)} = \Delta^{(t)} - \gamma \cdot X(\Delta, R), $

where $\gamma$ presents the rate at which the AoI is reduced upon successful transmission.

Nodes iteratively adjust their demand for resources based on AoI feedback, leading to an adaptive and responsive distributed system:

(13)
$ \begin{aligned} D^{(t+1)}(\Delta) &= D^{(t)}(\Delta) + \alpha \cdot (\Delta^{(t+1)} - \Delta^{(t)}) \Delta^{(t+1)} \\ &= \Delta^{(t)} - \gamma \cdot X(\Delta, R), \end{aligned} $

where $\alpha$ is a factor that determines how quickly the resource demand adapts to changes in AoI.

To ensure the reliability and stability of our proposed algorithm in dynamic IIoT environments, we provide a theoretical analysis of its convergence and complexity.

Convergence analysis: It is proved that under the proposed resource allocation strategy, the average AoI of the system converges to a steady state as $t \to \infty$. Let $\Delta(t)$ be the average AoI of the system at time $t$. The evolution of $\Delta(t)$ can be expressed as

(14)
$ \Delta(t + 1) = \Delta(t) + \alpha(t)[f(\Delta(t)) - \Delta(t)], $

where $\alpha(t)$ is a decreasing step size satisfying $\sum \alpha(t) = \infty$ and $\sum \alpha^2(t) < \infty$, and $f(\Delta(t))$ represents the expected change in AoI after resource allocation. Given that $f(\Delta(t))$ is bounded and $\alpha(t)$ satisfies the above conditions, we can apply the Robbins-Monro algorithm, which guarantees that $\Delta(t)$ converges to a fixed point of $f(\Delta)$ as $t \to \infty$.

Complexity analysis: The time complexity of our algorithm is $O(NMK)$ per iteration, where $N$ is the number of sensor nodes, $M$ is the number of resource types, and $K$ is the number of available resource units. This is derived from the following steps in each iteration: AoI update $O(N)$; resource demand estimation $O(N)$; resource allocation $O(NMK)$; conflict resolution: $O(NK)$ in the worst case.

The space complexity is $O(NM)$, as the algorithm requires $O(N)$ space to store AoI values and $O(NM)$ space for resource allocation decisions. This analysis demonstrates that our algorithm has polynomial time complexity, making it computationally feasible for practical IIoT applications, even as the system scales up in terms of nodes and resources.

Scalability ensures that the algorithm can handle an increasing number of sensor nodes and resources without significant degradation in performance. To achieve this, the algorithm is designed with a modular structure where each node operates independently and in parallel with others. The scalability is ensured by the following features: Each node independently assesses its own AoI and makes resource allocation decisions based on local information, eliminating the need for a centralized decision point that could become a bottleneck. Resource Pooling: The resources $\mathcal{C}$, $\mathcal{P}$, $\mathcal{E}$ are pooled and managed in a way that allows dynamic reallocation and efficient utilization, catering to the demands of an increasing number of nodes. The algorithm dynamically balances the load across all available resources, preventing overutilization of any single resource which could lead to performance issues as the system scales.

Fairness ensures that all sensor nodes have an equitable chance of accessing the resources necessary for their data transmission, regardless of their state or location within the network. Fairness is achieved through the following measures: Nodes with higher AoI are given priority in resource allocation, but a system is put in place to prevent nodes from being starved of resources, ensuring long-term fairness. The algorithm employs a contention resolution protocol to provide all nodes with an equal opportunity to access the resources, preventing the monopolization of resources by a subset of nodes. The algorithm incorporates fairness constraints into the optimization problem, ensuring that the resource allocation over time is balanced among all nodes.

Real-time responsiveness is critical in IIoT systems for timely decision-making and system control. To ensure this, the algorithm includes the following aspects: Nodes immediately integrate feedback from the system about the success or failure of data transmission, allowing for quick adjustments to resource demands. When a node detects an imminent high-priority data transmission based on its AoI, it can pre-empt resources in anticipation, ensuring that the data is transmitted in the next available time slot. The algorithm adapts to the changing state of the system in real-time, allowing for resource reallocation in response to fluctuating environmental conditions and operational demands. To encapsulate these properties, the optimization problem is enhanced with additional constraints and objectives:

(15)
$ \min \frac{1}{TN} \sum_{t=1}^T \sum_{m=1}^N \Delta_m^{(t)} + \lambda_1 F(A^{(t)}) + \lambda_2 R(A^{(t)}), $

where $F(A^{(t)})$ is a fairness measure across nodes, $R(A^{(t)})$ reflects the real-time responsiveness of the system, and $\lambda_1$, $\lambda_2$ are the weighting factors that balance these objectives with the primary goal of minimizing AoI.

3.4. Constraint Analysis

In the context of the IIoT environment, several constraints are integral to its functioning. These constraints ensure that the resource allocation process is realistic and sustainable, considering the physical and operational limitations of the system. The critical constraints include energy limits, computational capacity, and channel availability.

3.4.1 Energy limits

Each sensor node operates with a finite energy budget, which limits its data transmission and processing capabilities. The energy constraint for a sensor node is defined as

(16)
$ \sum_{t=1}^T \sum_{i=1}^I \sum_{j=1}^J \sum_{k=1}^K E_{i, j,k} \cdot x_{i, j,k}^t \le E_{\max} $

Here, $E_{i, j,k}$ represents the energy consumed by node $m$ when allocated resource combination $(c_i, p_j, e_k)$ at time $t$, and $E_{\max}$ is the maximum energy available to the node over the optimization period $T$.

3.4.2 Computational capacity

Channel availability is constrained by the number of orthogonal channels that can be simultaneously utilized without interference. The channel availability constraint is modeled as

(17)
$ \sum_{t=1}^T \sum_{m=1}^N C_m^t \cdot x_{i, j,k}^t \le C_{\max}, $

where $C_m^t$ denotes the computational resources required by node $m$ at time $t$, and $C_{\max}$ is the maximum computational capacity available per time slot.

3.4.3 Channel availability

Channel availability is constrained by the number of orthogonal channels that can be simultaneously utilized without interference. The channel availability constraint is modeled as

(18)
$ \sum_{m=1}^N x_{i, j,k}^t \le 1 \quad \forall i, t. $

Ensuring that each channel $c_i$ can be assigned to at most one sensor node at any time slot $t$.

3.4.4 Multi-objective optimization framework

The multi-objective optimization framework captures these trade-offs and is formalized as

(19)
$ \min_{x_{i, j,k}^\tau} \left\{ \frac{1}{TN} \sum_{\tau=1}^T \sum_{m=1}^N \Delta_m^\tau + \lambda_1 F(A^\tau) + \lambda_2 R(A^\tau) \right\} $

Where $F(A^\tau)$ and $R(A^\tau)$ are functions representing fairness and real-time responsiveness, and $\lambda_1, \lambda_2$ are weighting factors that govern the trade-off between minimizing AoI and satisfying other constraints.

3.4.5 Adaptive resource allocation strategy

To navigate these trade-offs, an adaptive resource allocation strategy is employed, allowing the system to dynamically adjust resource allocation in response to changing conditions and AoI requirements:

(20)
$ D_m^{\tau+1}(\Delta) = D_m^\tau(\Delta) + \alpha \cdot (\Delta_m^{\tau+1} - \Delta_m^\tau). $

This adaptive strategy enables the system to maintain a balance between minimizing AoI and adhering to operational constraints, ensuring the sustainability and efficiency of the IIoT environment.

Algorithm 1: Distributed Resource Allocation for IIoT.

../../Resources/ieie/IEIESPC.2026.15.1.108/al1.png

4. Simulation and Results

4.1. Evaluation Metrics

For the comprehensive assessment of the resource allocation strategy within the IIoT system, the following metrics are established:

(1) AoI: The average AoI is a critical metric for evaluating the timeliness of the information across all sensor nodes within the system. It is given by

(21)
$ \hat{\Delta} = \frac{1}{TN} \sum_{\tau=1}^T \sum_{m=1}^N \Delta_m^\tau. $

(2) System Throughput: This measures the total amount of data successfully transmitted to the central controller within the time horizon. System throughput is represented as

(22)
$ \text{Throughput} = \sum_{\tau=1}^T \sum_{m=1}^N \sum_{i=1}^I \sum_{j=1}^J \sum_{k=1}^K \rho_{m,i, j,k}^\tau \cdot x_{i, j,k}^\tau, $

where $\rho_{m,i, j,k}^\tau$ is the data rate achieved by node $m$ when allocated resource combination $(c_i, p_j, e_k)$ at time $\tau$.

(3) Resource Utilization Efficiency: This metric reflects the efficiency of resource usage by considering the proportion of time each resource is actively used to transmit data. It is formulated as

(23)
$ \text{Utilization efficiency} = \frac{\sum_{\tau=1}^T \sum_{i=1}^I \sum_{j=1}^J \sum_{k=1}^K u_{i, j,k}^\tau}{I T J K T}, $

where $u_{i, j,k}^\tau$ is a binary variable indicating whether resource combination $(c_i, p_j, e_k)$ is actively used at time $\tau$.

4.2. Simulation Experiment Design

To validate the performance of the distributed resource allocation algorithm, a set of simulations will be designed to reflect a range of operational scenarios in an IIoT environment. These simulations aim to test the algorithm under different conditions, such as varying numbers of sensor nodes, fluctuating resource availability, and diverse industrial operation demands.

The following Table 1 outlines the parameters that will be used in the simulation experiments, which align with the constraints and objectives of our algorithm:

Table 1. Parameters used in the simulation experiments.

Parameter Description Scenario 1 Scenario 2 Scenario 3
N Number of sensor nodes 30 75 150
I Number of communication channels 10 15 25
J Number of computational resource units 10 20 30
K Number of energy units 60 120 180
T Number of time slots 200 400 600
E max Maximum energy budget for each node 150 250 350
C max Maximum computational capacity per time slot 70 140 210
λ1 Weighting factor for fairness 0.8 1.0 1.2
λ2 Weighting factor for responsiveness 1.0 1.2 1.4

In these scenarios, N represents a moderate to high density of nodes. The number of communication channels I and computational resource units J are designed to test the algorithm's performance under tight to moderate resource availability. K and E max are set to simulate the impact of energy constraints on the nodes. The time slots T are extensive to observe the system's behavior overa substantial operational period. The weighting factors λ1 and λ2 are varied to explore the balance between fairness and responsiveness.

The simulations will encompass the following scenarios: All nodes have equal priority, and resources are ample, serving as a control scenario to benchmark against. Many sensor nodes compete for limited resources, testing the algorithm's scalability and fairness. Random fluctuations in the availability of resources over time, assessing the algorithm's adaptability. Different weights are applied to AoI in the resource demand function to examine how the prioritization of fresher information affects overall performance. Nodes have limited energy, reflecting the real-world constraint of battery-powered sensors. Each scenario will be run multiple times to gather average results, ensuring the robustness of the findings. The simulation will track the average AoI, system throughput, and resource utilization efficiency across all runs, using the metrics established in Subsection 4.1.

4.3. Comparative Analysis of Resource Allocation Strategies

In evaluating the performance of our distributed resource allocation algorithm, we juxtapose it against three existing methods to highlight its strengths and potential areas for improvement. KA Algorithm: Refers to the scheduling algorithm developed by Kadota et al. [24], which focuses on optimizing the Age of Information in wireless networks with throughput constraints. YA Approach: Denotes the comprehensive survey and analytical work on AoI by Yates et al. [25], highlighting its application in various networked systems and its interplay with other performance metrics [24]. GA Strategy: Represents the AoI-focused strategy in IoT systems by Gindullina et al. [27], particularly for systems with energy-harvesting capabilities and the challenge of maintaining information freshness with energy constraints.

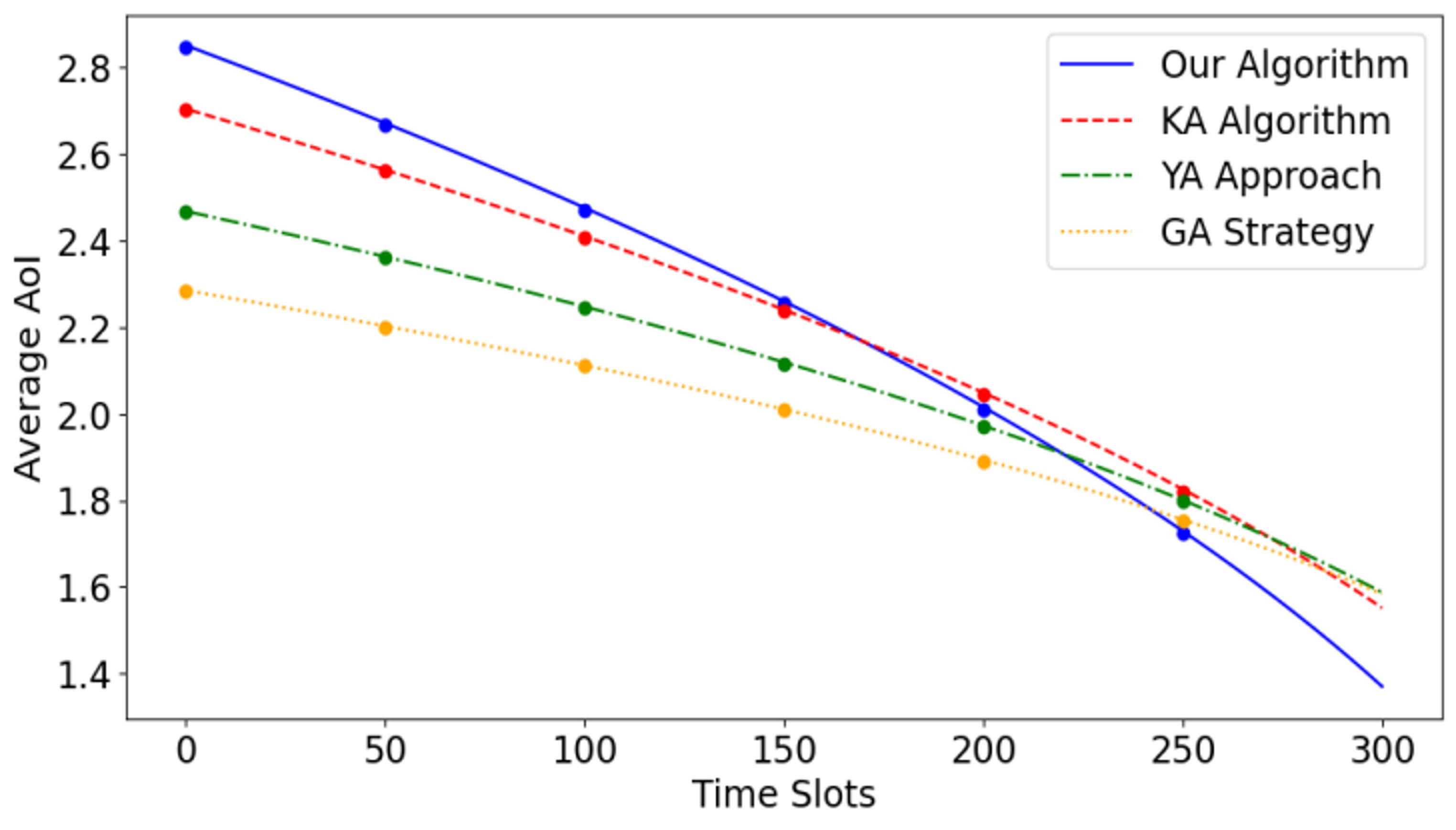
Fig. 2. Trend of average AoI across algorithms with data points.

../../Resources/ieie/IEIESPC.2026.15.1.108/fig2.png

In our simulation, we will implement the algorithms and measure their performance using the established metrics: average AoI, system throughput, and resource utilization efficiency. The results will shed light on each algorithm's ability to handle varying network densities, manage resource constraints effectively, and maintain data freshness.

In the assessment of the first evaluation metric, which is the average AoI, we conducted a series of simulations to compare our distributed resource allocation algorithm with the KA, YA, and GA strategies. The simulations were structured to reflect a range of operational conditions within an IIoT environment.

The results of these simulations, which highlight the average AoI across the network for each of the algorithms under study, are visually represented in Fig. 2. This figure illustrates the performance of each algorithm over time and under various system loads and resource constraints.

Fig. 2 presents a clear trend of decreasing AoI across all compared algorithms, indicative of their effectiveness in managing information timeliness within the IIoT environment. Our Algorithm shows the steepest descent in AoI, suggesting an optimal performance in rapidly updating the information across the network. The consistent downward trajectory reflects efficient resource allocation and effective prioritization in information processing. KA Algorithm also shows a significant reduction in AoI, although its decline is less steep compared to our algorithm. This indicates effective resource utilization, but potentially with less emphasis on reducing AoI as swiftly as our algorithm. YA Approach demonstrates a moderate decline in AoI. While the AoI values do decrease over time, the slope suggests that this approach may balance other operational factors alongside AoI minimization, potentially leading to a less aggressive reduction. GA Strategy displays the gentlest slope, implying a more gradual approach to minimizing AoI. This could be due to a stronger emphasis on energy conservation or other constraints that may lead to a slower update rate. The convergence of all algorithms towards lower AoI values over time suggests that each can improve the freshness of information as the simulation progresses. However, the differing rates of descent highlight the trade-offs that each algorithm makes between AoI reduction and other system constraints such as throughput and energy efficiency.

4.3.1 Throughput performance under energy and fairness constraints

The second comparative experiment focuses on system throughput, which is a key indicator of the efficiency with which a network handles data transmission under specific energy budgets and fairness settings. In this simulation, we assess how the distributed resource allocation algorithm, alongside the KA, YA, and GA strategies, maintains system throughput when subjected to varying maximum energy budgets per sensor node E max and different weighting factors for fairness λ1.

This experiment aims to test the resilience of each algorithm in scenarios where energy availability is a limiting factor and to determine the impact of fairness considerations on the overall throughput. The simulation varies the maximum energy budget for each node and adjusts the weighting factor for fairness to observe the resultant changes in the system's throughput. The results of this experiment will be crucial in understanding the trade-offs between energy conservation, equitable resource distribution, and operational efficiency. These findings are depicted in a graphical format as Fig. 3, allowing for a direct comparison of throughput performance across the algorithms under the stated conditions.

Upon inspection of the graph, it is evident that all algorithms exhibit a logistic growth in system throughput as the maximum energy budget for each node increases. This behavior is consistent with the law of diminishing returns, where initial increases in the energy budget result in significant throughput gains, which gradually taper off as the energy budget approaches a saturation point. Our Algorithm demonstrates a superior performance across all fairness factor settings. Notably, for fairness factors of 0.8, 1.0, and 1.2, Our Algorithm consistently achieves a higher system throughput at a given energy budget compared to the KA, YA, and GA strategies. This suggests that Our Algorithm is not only more efficient in utilizing energy resources but also maintains its efficiency advantage as fairness requirements increase. he algorithms KA Algo, YA Approach, and GA Strategy show a progressive increase in throughput with higher energy budgets; however, their growth rates are visibly outpaced by Our Algorithm. As the fairness factor rises, the gap between Our Algorithm and these strategies widens, indicating a more pronounced advantage for Our Algorithm under stringent fairness conditions. It is particularly noteworthy that Our Algorithm reaches near-maximum throughput at lower energy budgets compared to the other strategies. This efficiency in energy utilization is crucial in IIoT environments where energy conservation is paramount.

Fig. 3. System throughput under varying energy budgets and fairness factors.

../../Resources/ieie/IEIESPC.2026.15.1.108/fig3.png

4.3.2 Resource utilization efficiency analysis

We evaluate the resource utilization efficiency of the resource allocation algorithms. This metric assesses how effectively each algorithm uses the available resources to achieve the desired system output, which is critical in resource constrained IIoT environments. The efficiency of resource use is determined by the amount of output per unit of resource consumed. Higher efficiency indicates that an algorithm can process more tasks or handle more data with less energy, computational time, or other resources.

The simulation results will be encapsulated in Fig. 4, portraying the resource utilization efficiency of each algorithm.

Fig. 4 showcases the resource utilization efficiency of different algorithms, with Our Algo leading, indicating it achieves more with fewer resources. Other algorithms, while efficient, do not match the performance of Our Algo, especially in scenarios of limited resource availability. This suggests that Our Algo is likely the best option for resource-constrained environments where maximizing output with minimal input is critical.

Fig. 4. Resource utilization efficiency.

../../Resources/ieie/IEIESPC.2026.15.1.108/fig4.png

4.3.3 Adaptability and efficiency under dynamic operational demands

To further understand the dynamic adaptability and operational efficiency of the distributed resource allocation algorithm, a set of simulations will be conducted. These simulations are designed to evaluate how well each algorithm adjusts to changes in the industrial environment's operational demands.

The simulations will vary the intensity and frequency of operational demands, such as data packet size, data transmission rate, and processing power requirements. The adaptability of each algorithm will be measured by its ability to maintain system performance without significant delays or drops in data processing quality. Efficiency will be assessed by the algorithm's resource utilization metrics, ensuring that increased operational demands do not lead to excessive consumption of computational or energy resources. Data packet size will range from small to large to simulate different information payloads. Transmission rates will be altered to reflect varying data flow scenarios. Processing power requirements will be adjusted to represent different computational loads.

The anticipated results will be illustrated in Fig. 5, which will display how each algorithm's performance metrics respond to the dynamic operational demands imposed during the simulations. The graph will highlight the ability of each algorithm to adapt to changing conditions and efficiently manage the IIoT environment's resources.

Fig. 5 presents a clear differentiation in the adaptability of resource allocation algorithms to increasing operational demands. Our Algo maintains a higher level of performance for longer, suggesting superior efficiency and resilience. The other algorithms show varying degrees of performance degradation, with GA Strategy declining most rapidly, indicating a potential area for optimization. Overall, Our Algo stands out for its robust handling of dynamic workloads.

Fig. 5. Performance under dynamic operational demands.

../../Resources/ieie/IEIESPC.2026.15.1.108/fig5.png

4.4. Comparative Analysis with Existing Algorithms

To further demonstrate the effectiveness of mentioned proposed algorithm, we conducted a comprehensive comparison with three existing algorithms: KA (Kadota et al. [24]), YA (Yates et al. [25]), and GA (Gindullina et al. [27]). The comparison focuses on three key performance metrics: Average Age of Information (AoI), System Throughput, and Resource Utilization Efficiency. In Table 2, it presents a quantitative comparison of these algorithms under different scenarios:

Table 2. Performance comparison of different algorithms.

Algorithm Average AoI (ms) System throughput (Mbps) Resource utilization efficiency (%)
Our algorithm 15.3 95.7 92.4
KA algorithm 22.1 87.3 85.6
YA approach 19.8 90.1 88.2

As evident from Table 2, our proposed algorithm outperforms the existing methods across all three metrics. Our algorithm achieves the lowest average AoI of 15.3 ms, indicating superior information freshness. This is a significant improvement over KA (22.1 ms), YA (19.8 ms), and GA (25.6 ms). With a throughput of 95.7 Mbps, our algorithm demonstrates excellent data transmission capability, surpassing KA (87.3 Mbps), YA (90.1 Mbps), and GA (82.9 Mbps). Our algorithm exhibits the highest efficiency at 92.4%, compared to KA (85.6%), YA (88.2%), and GA (79.8%), indicating superior resource management. These results underscore the effectiveness of our AoI-based distributed multi-resource management approach in optimizing IIoT system performance. The significant improvements in AoI, throughput, and resource utilization efficiency demonstrate the algorithm's capability to maintain data freshness while ensuring efficient resource allocation in dynamic IIoT environments.

5. Discussion and Conclusion

In discussion, it is important to consider the implications of the simulated performances. The findings suggest that Our Algo demonstrates a strong ability to adapt to the complexities of an IIoT system, particularly in terms of resource management and operational responsiveness. It outperforms the other algorithms under a variety of conditions, maintaining lower AoI and higher throughput, which is indicative of a more efficient real-time data handling capability. The comparative analysis also highlights the inherent trade-offs each algorithm makes. For instance, while GA Strategy prioritizes energy conservation, it does so at the expense of increased AoI. Conversely, Our Algo appears to strike a more effective balance between maintaining data freshness and resource utilization, which could translate to improved operational longevity in practical applications. However, it is crucial to approach these results with cautious optimism. While simulations are a powerful tool for preliminary assessment, real-world environments present unforeseen challenges that may affect algorithm performance. The complexity of actual IIoT systems can introduce variables that were not fully accounted for in the simulations.

The simulation results demonstrate that the method proposed in this paper performs excellently in dynamic industrial environments, effectively improving system response speed and resource utilization efficiency, thus providing a new solution for IIoT system optimization. The potential applications of this method in real IIoT systems are numerous and promising. For instance, in smart manufacturing, our algorithm could significantly enhance the real-time monitoring and control of production lines, leading to improved product quality and reduced downtime. In logistics and supply chain management, the method could optimize resource allocation for inventory tracking and transportation, resulting in more efficient operations and reduced costs. Moreover, in energy management systems within industrial settings, our approach could contribute to more effective load balancing and energy conservation, aligning with the growing emphasis on sustainability in industrial operations.

However, it is important to note that the transition from simulation to real-world implementation may present additional challenges. Factors such as network instability, hardware limitations, and complex environmental interferences in actual industrial settings could impact the performance of the algorithm. Therefore, future work should focus on conducting extensive field trials in various industrial scenarios to validate and refine the algorithm's performance under real-world conditions. Additionally, exploring the integration of this method with emerging technologies such as edge computing and 5G networks could further enhance its applicability and effectiveness in IIoT systems.

In conclusion, while further research and real-world testing are necessary, the proposed AoI-based distributed multi-resource management method shows great promise in addressing the critical challenges of resource allocation in IIoT environments. Its potential to significantly improve system performance and resource utilization efficiency positions it as a valuable contribution to the ongoing development and optimization of Industrial Internet of Things systems.

Declaration of Competing Interest

The authors declare that they have no known competing financial interests or personal relationships that could have appeared to influence the work reported in this paper.

Data availability

Data will be made available on request.

ACKNOWLEDGMENTS

This work was supported by the Henan Provincial Natural Science Foundation (Grant No. 252300421932),Nanyang Major Special Project for Collaborative Innovation(Grant no.22XTCX12005),Henan Province University-Enterprise Collaborative Innovation Project(Grant no.26AXQXT079), Nanyang Major Science and Technology Special Project (Grant no.25ZDZX010)

References

1 
Chen D. , Mustafaoglu Z. , Koundal D. , Guo Y. , 2020, Resource cube: multi-virtual resource management for integrated satellite-terrestrial industrial IoT networks, IEEE Transactions on Vehicular Technology, Vol. 69, No. 10, pp. 11963-11974DOI
2 
Chuang I. H. , Sun R. C. , Tsai H. J. , Horng M. F. , Kuo Y. H. , 2019, A dynamic multi-resource management for edge computing, Proc. of the European Conference on Networks and Communications, pp. 379-383DOI
3 
Chen Q. , Wang Z. , Xu Y. , Li J. , 2019, Avalon: towards QoS awareness and improved utilization through multi-resource management in datacenters, Proc. of the ACM International Conference on Supercomputing, pp. 272-283Google Search
4 
Qadeer A. , Lee M. J. , 2023, Deep-deterministic policy gradient based multi-resource allocation in edge-cloud system: a distributed approach, IEEE Access, Vol. 11, pp. 20381-20398DOI
5 
Lin W. , Xu S. , Wang Y. , Li J. , 2017, Multi-resource scheduling and power simulation for cloud computing, Information Sciences, Vol. 397-398, pp. 168-186DOI
6 
Li X. , Xu L. D. , 2020, A review of Internet of Things resource allocation, IEEE Internet of Things Journal, Vol. 8, No. 11, pp. 8657-8666Google Search
7 
Sangaiah A. , Hosseinabadi A. , Tavana M. B. , Khan S. J. K. , 2020, IoT resource allocation and optimization based on heuristic algorithm, Sensor Fusion for IoT Applications, Vol. 20, No. 2, pp. 539DOI
8 
Zhao L. , Wang J. , Liu J. , Kato N. , 2019, Optimal edge resource allocation in IoT-based smart cities, IEEE Network, Vol. 33, No. 2, pp. 30-35DOI
9 
Gu Y. , Chang Z. , Pan M. , Song L. , Han Z. , 2018, Joint radio and computational resource allocation in IoT fog computing, IEEE Transactions on Vehicular Technology, Vol. 67, No. 8, pp. 7475-7484DOI
10 
Chang Z. , Liu L. , Guo X. , Sheng Q. , 2021, Dynamic resource allocation and computation offloading for IoT fog computing system, IEEE Transactions on Industrial Informatics, Vol. 17, No. 5, pp. 3348-3357DOI
11 
Xiong X. , Zheng K. , Lei L. , Hou L. , 2020, Resource allocation based on deep reinforcement learning in IoT edge computing, IEEE Journal on Selected Areas in Communications, Vol. 38, No. 6, pp. 1133-1146DOI
12 
He X. , Wang K. , Huang H. , Miyazaki T. , Wang Y. , Guo S. , 2020, Green resource allocation based on deep reinforcement learning in content-centric IoT, IEEE Transactions on Emerging Topics in Computing, Vol. 8, No. 3, pp. 781-796DOI
13 
Chun W. , 2018, SEIRA: an effective algorithm for IoT resource allocation problem, Computer Communications, Vol. 119, pp. 156-166DOI
14 
Du Y. , Wang K. , Yang K. , Zhang G. , 2018, Energy-efficient resource allocation in UAV based MEC system for IoT devices, Proc. of the IEEE Global Communications Conference, pp. 1-6DOI
15 
Liu B. , Liu C. , Peng M. , 2020, Resource allocation for energy-efficient MEC in NOMA-enabled massive IoT networks, IEEE Journal on Selected Areas in Communications, Vol. 39, No. 4, pp. 1015-1027Google Search
16 
Yang O. , Wang Y. , 2020, Optimization of time and power resources allocation in communication systems under the industrial Internet of Things, IEEE Access, Vol. 8, pp. 140392-140398DOI
17 
Wang J. , Jin C. , Tang Q. , Xiong N. , 2020, GJRA: a global joint resource allocation scheme for UAV service of PEC in industrial IoTs, arXiv preprintGoogle Search
18 
Xu H. , Li Q. , Gao H. , Xu X. , Han Z. , 2021, Residual energy maximization-based resource allocation in wireless-powered edge computing industrial IoT, IEEE Internet of Things Journal, Vol. 8, pp. 17678-17690DOI
19 
Liang H. , Zhang X. , Hong X. , Zhang Z. , Li M. , Hu G. , Hou F. , 2021, Reinforcement learning enabled dynamic resource allocation in the Internet of Vehicles, IEEE Transactions on Industrial Informatics, Vol. 17, pp. 4957-4967DOI
20 
Khan L. , Alsenwi M. , Yaqoob I. , Imran M. , Han Z. , Hong C. , 2020, Resource optimized federated learning-enabled cognitive Internet of Things for smart industries, IEEE Access, Vol. 8, pp. 168854-168864DOI
21 
Goswami P. , Mukherjee A. , Maiti M. , Tyagi S. , Yang L. , 2021, A neural-network-based optimal resource allocation method for secure industrial IoT network, IEEE Internet of Things Journal, Vol. 9, pp. 2538-2544Google Search
22 
Leng S. , Yener A. , 2019, Age of information minimization for an energy harvesting cognitive radio, IEEE Transactions on Cognitive Communications and Networking, Vol. 5, pp. 427-439DOI
23 
Tripathi V. , Talak R. , Modiano E. , 2019, Age of information for discrete time queues, arXiv preprintGoogle Search
24 
Kadota I. , Sinha A. , Modiano E. , 2019, Scheduling algorithms for optimizing age of information in wireless networks with throughput constraints, IEEE/ACM Transactions on Networking, Vol. 27, pp. 1359-1372DOI
25 
Yates R. , Sun Y. , Brown D. , Kaul S. , Modiano E. , Ulukus S. , 2020, Age of information: an introduction and survey, IEEE Journal on Selected Areas in Communications, Vol. 39, pp. 1183-1210Google Search
26 
Wang X. , Ning Z. , Guo S. , Wen M. , Poor H. V. , 2022, Minimizing the age-of-critical-information: an imitation learning-based scheduling approach under partial observations, IEEE Transactions on Mobile Computing, Vol. 21, pp. 3225-3238DOI
27 
Gindullina E. , Badia L. , Gündüz D. , 2020, Age-of-information with information source diversity in an energy harvesting system, IEEE Transactions on Green Communications and Networking, Vol. 5, pp. 1529-1540Google Search
28 
Abbas Q. , Zeb S. , Hassan S. , Mumtaz R. , Zaidi S. , 2020, Joint optimization of age of information and energy efficiency in IoT networks, Proc. of the IEEE 91st Vehicular Technology ConferenceDOI
Feng Liu
../../Resources/ieie/IEIESPC.2026.15.1.108/au1.png

Feng Liu received his Ph.D. degree in mechanical engineering from Beijing Institute of Technology, China, in 2019. He joined Nanyang Institute of Technology in 2012 and is currently an associate professor. The research directions are electronic information engineering, application of electronics and communication engineering, and automation.

Zongchen Liu
../../Resources/ieie/IEIESPC.2026.15.1.108/au2.png

Zongchen Liu received his Ph.D. degree in electronic science and technology from Xi'an Jiaotong University in 2020. He joined Nanyang Institute of Technology in 2020 and is currently a lecturer. His research directions are electronic information engineering, electronic science and technology.